Featured
Global Error Of Euler Method
Global Error Of Euler Method. We are going to look at one of the oldest and easiest to use here. If this article was helpful,.

Solving analytically, the solution is y = ex and y (1) = 2.71828. We have and it follows. Numerical solution of initial previous:
We Have And It Follows.
Dy dt = f (t,y) y(t0) = y0 (1) (1) d y d t = f ( t, y) y ( t 0) = y 0. Numerical solution of initial previous: This makes the euler method rarely used in practical applications and motivates us to propose a new euler method combined with dnns.
Download Scientific Diagram | Global Errors Versus N In Logarithmic Scale For The Euler’s Method (Blue) And Various Cases Of The Rbf Euler’s Method Of The Second Order:
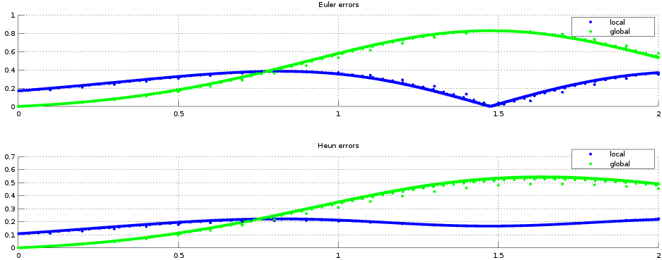
In the spectral sfem, the random parameter fields are discretized by a kl or a polynomial chaos expansion, the solution is expanded with hermite polynomials, and a galerkin approach is applied to solve for the unknown expansion coefficients.the theoretical foundation has been laid in deb et al. That is, it is difference between the exact value, \(\phi\big(t_{n+1}\big)\text{,}\) and the approximate value generated by a single euler method step, \(y_{n+1}\text{,}\) ignoring any numerical issues caused by storing numbers in a computer. Torsten on 9 mar 2022.
The Next Step Is To Multiply The Above Value By.
I have coded the following for a euler's method in matlab but i am not sure how to incorporate local and global truncation errors into the code if someone can help. The main reason is that the euler method has only one order approximation accuracy, which requires a very small step size for any meaningful result. Let’s start with a general first order ivp.
Inspired By This Answer, I Tried To Understand When Floating Point Errors Come Into Visibility And To Check It Also Comparing The Plot Of The Numerical Solution With Explicit Euler With The Analyti.
Bounds on the global errors emanating from extrapolation methods to ivps. % the range of x. Since the solution of the initial value problem is in general not known, it is more appropriate to find a bound for the constant directly from the right hand side in the differential equation.
We Are Going To Look At One Of The Oldest And Easiest To Use Here.
We now outline a procedure how this can be accomplished. This method was originally devised by euler and is called, oddly enough, euler’s method. Paul toepp on 8 mar 2022.
Comments
Post a Comment